小编按:自从离开校园,熊五便成为了一名光荣的排水民工,完成了从用户到服务商的华丽转型。不知多少个夜晚,熊五从睡梦中惊醒,扪心自问:到底是什么样的热情,让我心甘情愿的从一个颐指气使的甲方变成了曲意逢迎、便僻侧媚的乙方?音乐起:如果~这都~不算爱……
闲话少叙,书归正文。虽然工作时间不长,但熊五在工作中遇到最常见的一个来自甲方或者潜在甲方的问题,就是“你们的设备是怎么测出流量的啊?”依照熊五多年在学校养成的恶习,一定会说“伯努利原理和多普勒效应”,更恶劣一点的话,还要加上一句“中学知识”,然后默默的看着问问题的人:
但事实是:
为什么这么说呢?并不是因为熊五没有提到纳维-斯托克斯方程,而是因为,虽然发问者表面上会表现出:
但实际心理活动却是:
然后就:
所以说,这种讲解方式的效果是非常的不好。
那么,今天熊五就借专栏来讲一讲,在城市排水系统中,我们到底是怎么测流量的。
1、流量是什么,怎么测。
排水行业中,流量一般会以“体积/时间”为单位,比如“立方米/秒”,也就是说,排水行业中所谓流量,是指单位时间内流经某一截面的水量(以体积计)。那么第一个流量监测方法来了:
选定某一截面为需要监测的过流断面,用容器收集一段时间内流经这一断面的所有水,然后记录收集到的水的体积,以及收集时间,直接根据流量的定义,用体积除以时间,即可得到这段时间内监测断面的平均流量,时间间隔越小,平均流量约接近瞬时流量。
然而,这个方法其实并不实用。
因为能用来做监测的容器,容积必定有限,对于这种水量还可以应付:
但是我们的排水管网一般是这样的:
排出来的水量一般是这样的:
这时候,用什么容器,都是扯淡。那么,接下来就要谈到第二个方法:既然流量是针对某一个过流断面而言的,那么在管网中(或者任何什么地方),可以把流经这个断面的水想象成一个柱体:
图中,底面积就是过流断面面积,高就是计算时间内,水从过流断面开始经过的距离,既然有:流量=体积/时间, 那么流量=断面面积S*水流经距离L/时间=断面面积S*(水流经距离L/时间)=断面面积S*流速v。于是,我们只要分别监测过流断面的面积,以及过流断面的流速,就可以获得监测流量。
但是,
流量不好直接监测,难道过流断面面积和流速就好测了?这不是把一个难题变成两个难题了么?
然而,并不是。
解决科学问题的一个重要方法,就是把尚未解决的问题通过某种方式转化为一个已经解决过的问题,从而解决它。
而过流断面面积和流速的监测方法都已经有了成熟的解决方案,属于已经解决的问题。
2、过流断面面积怎么测。
其实,不管什么形状的过流断面,只要是已知形状和水深,就可以求面积。排水系统中常见的圆管、方槽、梯形槽等等,都是规范的计算方法,而即便是不规则的断面形状,也可以通过近似积分法求得面积。因此,过流断面面积的监测,又可以转换为水深的监测,排水行业一般称为液位。
测量液位的方法很多,这里我们就只介绍前文提到的、熊五那个啥用的伯努利方程,也就是压强测液位法。
科学家很早就意识到,液体内部存在压强。但是直到帕斯卡之前,没有人能把水深与压强之间的关系说清楚。
帕斯卡是个法国人,生于1623年,是一个早慧也早逝的天才。帕斯卡比伽利略(1564-1642)大概小两辈,比牛顿(1643-1727)大一辈,在文艺复兴时期那众多璀璨的科学之星中也是当之无愧的非常非常牛的一位科学家。他在数学上跟费马(就是提出费马大定理的那个业余数学家之王)通信讨论,物理上奠定了流体静力学的基础,以致于目前国际标准的压强单位命名为“帕斯卡”。
老帕提出,在静止的流体中,任一点的压强为:
,其中,p为压强,ρ为密度,g为重力加速度,h为水深。
为了这个公式,老帕还专门做了个裂桶实验:在一个密闭的、装满水的木桶的桶盖上插入一根细长的管子,管子非常长,长到老帕要从楼房的阳台上才能够到管子的顶端。老帕向细管子里灌水,结果才灌了了几杯,桶就裂了,被水压的。这个实验在当时被认为是不可思议的,因为它证明了木桶里的水对木桶底部(或侧壁)产生的压力远大于水自身的重量。用帕斯卡的压强公式来解释,那就是水深h很大,导致p很大,于是作用在木桶上的压力就很大,大到足以使木桶开裂。
于是我们知道,只要获得了某一点的压强p,就可以推算出这一点的水深,而压力传感器是工业实践中最为常用的一种传感器,我们终于把一个未解决的问题转化为一个已解决的问题,成功的解决了它。
但是,
这只是流体静力学的结论,对于静止流体而言没问题,但我们的排水系统里,水流不会保持静止,那么这时候如果我们还想要套用帕斯卡的压强公式,就得把伯努利老师的棺材板使劲压住。
伯努利老师是瑞士人,生于1700年,是一手开创了流体动力学的天才科学家。伯老师在当时的欧洲无人不知,与欧拉堪称一时瑜亮。据说有一次伯老师在旅途中与陌生人闲聊,介绍自己是“丹尼尔伯努利”时,陌生人回复说:“那我就是艾萨克牛顿”。这故事的真实性难说,但是从一个侧面反映了伯老师的牛B程度。
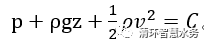
伯老师在研究流体时,发现了一个现象,那就是流体的速度越大,压强越小,反之速度越小,压强越大。后来,伯老师提出了著名的伯努利方程:
注意此处的z是指流体中某点的垂向坐标,正方向向上,所以z=-h。
伯努利方程最重要的一个应用,就是机翼的原理,机翼的上下表面弧度不同,造成空气流经的距离不同,速度不同,保证机翼上侧空气速度大于下侧,则上侧气压小于下侧,最终产生上升力。
在伯努利方程中,如果将流体速度取0,那么伯努利方程与帕斯卡压强公式就一致了。而在排水系统中,水保持流动,水深的计算要用伯努利方程,同时获得压强和流速,然后推算出水深。到这里,我们才算是初步解决了水深的监测问题。
(虽然伯努利方程需要假设流体定常、不可压缩、无摩擦、且沿流线流动,但在排水系统的监测实践中,这几条假设都可以近似满足)
压强有广泛应有的传感器技术,那么流速又怎么办呢?(请听下回分解)
后记:找出事务的本质,是一种严谨的科学态度,熊五为我们做了一个很好的榜样,有些时候智慧不是表面的,而是要打破砂锅问到底。也许实际过程中我们做了一些简化处理,但是要知其然知其所以然。



