最近,各地相继下发了做好新型冠状病毒感染肺炎疫情期间排水设施安全运行保障工作或运行监管相关通知,或者一些专家及媒体发布了一些建议措施。这些建议总体是积极的,有针对性的。但是其中个别环节,值得商榷。主要就是对进水水质的监测或跟踪分析。笔者认为,对原水的取样与化验分析,大大增加了疫情期间病毒感染的概率,不应该提倡。
一、关于病毒在水环境中的存活时间
首先看看病毒在污水或者水环境中的存活时间(T90计,T90表示90%的病毒的灭活时间):

可以看到,不同病毒在不同水介质中存活时间呈现较大差异,短的如HIV病毒,T90=1-2h,而长的有56天的某些脊髓灰质炎病毒。国外的资料给出的数据,SARS-CoV在培养基中也可以存活很久,T90=9天。(这里的SARS-CoV并不是2019-nCoV).
看看国内的研究数据。军事医学科学院卫生学环境医学研究所2004年发表在《环境与健康杂志》论文“SARS 冠状病毒的抵抗力研究”给出以下数据:
资料显示,发现SARS病毒可以在尿液、粪便中长时间存活。根据2004年军事医学科学院所发表的研究结果 ,在温度为20℃的条件下,SARS冠状病毒在粪便中可以存活3天,在尿液中可以存活17天。在更低的温度下,病毒的存活时间更长:在4℃,SARS 病毒在粪尿中可以存活17天以上。2019-ncov病毒与SARS病毒同属于呼吸道病毒,特性相似,因此,可以借鉴这些数据,那么得出的结论,就是我们要重视2019-nCOV在城市水系统中的传播。
二、关于病毒在整个城市水循环系统中的轨迹及去向

图1 致病微生物在城市水系统中的迁移轨迹及人暴露风险点
上图给出了整个水循环链条中病毒的迁移轨迹,实际上也是病毒暴露及人类接触的可能的凤险点,说到这里,大家头脑里要有这幅图!要有!要有!(重要的话说三遍)说明的是风险点,并没有经过验证!
可以看到,从A点粪便,到市政排水管网B,再到污水厂D,尾水排放口E,污泥处置F,受纳水体G(对有些城市会与自来水厂原水关联)、也就是源水,自来水厂I, 城市管网泄露污染给水系统H,以及用户直接接触受污染的水J!!!查一查吧,多少个应该加强的风险管控点!作为疫情期间一个完整的供排水系统,上述每个环节是必须做的,尤其是某些特定的城市或者区域,头脑里要有这些A-J这些风险控制节点!要有!要有!(重要的话再说三遍)!
三、排水系统病毒暴露及接触风险点
以上风险点,对于整个城市水系统而言,简而言之,回归排水系统,笔者认为污水厂的原水恰恰是容易造成病毒暴露并引发操作人员感染病毒的风险点!原因很简单,就是前面讲的,原污水中含有高浓度的致病微生物,包括病毒,甚至有些病毒能存活数天,而对于市政排水系统,污水从用户大便器到市政污水厂,不过数小时。美国对污水厂微生物安全性及风险暴露及评估有非常严格的管控机制,我们国家目前尚缺乏这方面指导性文件或制度。
此外,有些人会问,家家户户都用消毒剂了,包括医院污水,那么这些污水到了城市污水厂,原水肯定有消毒剂甚至余氯啊!笔者再次重申,这些消毒剂不会到市政公共污水厂,因为进水中较高浓度的污染物、包括氨氮,COD会把这些杯水车薪的消毒剂完全消耗掉,加之管网数小时的输送,消毒剂绝不会出现在污水厂原水。
具体讲风险点,对于污水厂原水,主要是担心人工取样不可避免存在不安全不规范的取样操作,包括后期化验分析。很多污水厂取样就是通过一个取样瓶,人工在预处理或者细格栅处取样,本身预处理段气溶胶中病毒就高于其它区域,如果预处理段是封闭的,那风险更大。建议对原水水质,依靠在线水质监测就可以了,不要人工取样!风险太大。但是,那病毒去除怎办?
实际上,活性污泥以及后续深度处理段,只要保证系统稳定运行,比平时提高一些消毒剂的投加量,二级及三级深度处理+消毒对致病微生物的去除就可以达到甚至不低于4-5Log甚至更高的去除率,也就是可以获得99.99%以上的去除,这还有什么可担心的呢?说白了,老老实实多加点消毒剂,就可以安心了!不要到进水预处理那里取样折腾!

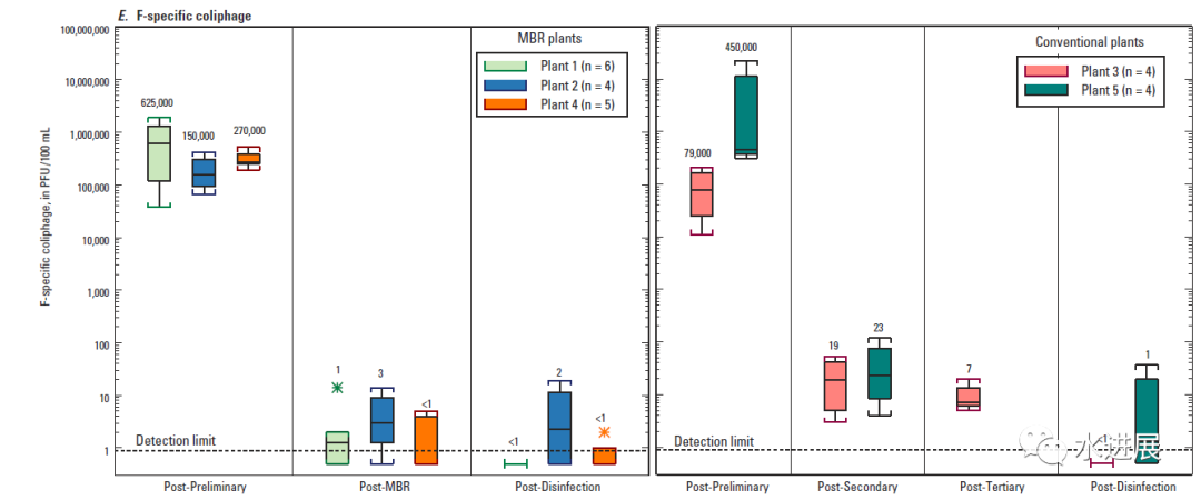
图2 MBR工艺与传统工艺对致病微生物的去除效果
下表给出了不同消毒剂对病毒灭活效果,可以看出,氯消毒剂10mg/L余氯量0.4mg/L就可以完全灭活SARS,同时,氯消毒剂单耗要比二氧化氯低很多,因此,建议采用氯消毒剂(液氯,次氯酸钠)

话说回来,非要对原水水样取样检测,那也要讲究安全!建议相关部门研究并给出疫情期污染污水的取样分析方法,不仅仅是个人防护的问题,具体涉及如何取样?采用什么设备?取多少?怎么化验?这方面应该出台一些指导措施。
笔者提供美国相关部门提供的一种方法参考(一句话,避免直接接触水源),不赘述,上图:

以上仅是个人观点,仅供特殊时期参考,在非疫情期间按照正常运行要求及相关安全操作规程实施。
文章引用国外一些资料:
1. K. R. Wigginton,* Y. Ye and R. M. Ellenberg.Emerging investigators series: the source and fateof pandemic viruses in the urban water cycle.Environ. Sci.: Water Res. Technol.
2. Quantifying Viruses and Bacteria in Wastewater—Results, Interpretation Methods, and Quality Control. Prepared in cooperation with Ohio Water Development Authority and City of Delphos, Ohio. Scientific Investigations Report 2011–5150.
3....



