原英文标题:Wastewater treatment plant resistomes are shaped by bacterial composition, genetic exchange, and upregulated expression in the effluent microbiomes
The ISME Journal, volume 13, pages346-360 (2019) [9.493]
DOI: https://doi.org/10.1038/s41396-018-0277-8
作者名称:Feng Ju 1,3, Karin Beck1, Xiaole Yin2, Andreas Maccagnana1, Christa S. McArdella1, Heinz Singer1, David R Johnson1, Tong Zhang2, Helmut Bürgmann1*
研究机构:
1 瑞士EAWAG研究所;
2 香港大学;
3 西湖大学(第一作者现单位)
撰稿人:袁凌,鞠峰;
校稿人:王慧;
单位:西湖大学环境微生物组与生物技术实验室(EMBLab)
污水处理厂是向环境中传播耐药性的热点。然而,目前对抗性基因在污水处理工艺过程中的消减、存留和演变的认识仍然不足。本文联合使用了宏基因组和定量宏转录组的方法,提供了对污水中20种抗生素抗性基因(ARG)主型、65种杀菌剂抗性基因(BRG)主型和22种金属抗性基因(MRG)主型归趋和原位表达活性的广谱定量分析。结果表明:在12个污水厂所有工段(进水、反硝化池、硝化池和出水)均能检测到可持久存在且活跃表达的抗性基因;二沉池出水中各类抗性基因的表达活性相对更高,且可移动遗传元件表征基因(iMGEs)也具有更高的相对丰度和表达比率。此外,对于污水厂不同处理工段,所含有的抗性基因的丰富度(richness)和总丰度(abundance)差异很大,其相对丰度和绝对丰度与细菌群落组成以及生物量浓度密切相关。尽管污水中残留的亚致死浓度级别(102 - 103 ng/L)的抗生素与大环内酯或万古霉素ARGs的基因丰度和表达活性具有显著相关性,受测抗菌剂对抗性组组成方差解释度较低。大规模的重叠群分析既显示抗性基因和可移动遗传元件之间具有共线性关系,还表明存在着大规模人类病原体参与的抗性基因水平转移。基于此,建议将ARGs的可移动率(M%)和宿主致病性(P%)作为将来构建它们定量风险评分模型的重要参数,以最终评估环境抗性组在人类及家畜的疾病控制方面的生物学意义。

在瑞士的12个污水处理厂分别原位采集进水、反硝化池、硝化池、出水的微生物样品并保存(图1),记录监测污水处理厂的常规水质参数和操作参数等环境参数,并测定多种抗菌类药物及重金属含量;提取并纯化各样品的总DNA和RNA,经高通量测序、质量控制、组装、基因预测、功能注释、定量宏组学指标计算(表S1)等一系列生物信息学流程对样品进行抗性基因组的定性和定量分析。同时,在细胞裂解后,RNA提取前,通过加入已知拷贝数的mRNA内标物实现对样本微生物组内所有转录本的绝对定量,计算方法如下:
Ta:某特定基因mRNA在样本中的绝对拷贝数
Ts:某特定基因mRNA序列在样品宏转录组中的数量
Pa:向样品中加入mRNA内标物的绝对拷贝数
Ps:样品宏转录组中回收到mRNA内标物序列的数量

所有宏基因组数据集中16554个DNA序列的开放阅读框(简称“ORFs”)被预测为ARG,7564个ORFs被预测为BRG或MRG,且其中有7687个抗性基因ORFs与可移动遗传元件表征基因 (iMGEs,即包括转座酶、转座子、接合子、整合酶、整合子、重组酶、质粒等可移动元件的表征基因) 具有共线关系(图2a)。其中,抗生素抗性组编码了多药外排泵、胞外失活、抗生素靶点修饰等常见的抗性机制,检出频率最高的ARG主型包括多重耐药、氨基糖苷类、β-内酰胺类、大环内酯类(图2b)。

a.左坐标轴对应折线图,代表非冗余ORFs中被注释为抗性基因的比例;右坐标轴对应柱形图,代表携带抗性基因contigs的数量。b. 编码各类抗性基因的ORFs数量以及主要的抗性机理。
污水厂四个不同处理部位共享7.4( ± 4.1)%的非冗余ARGs和2.6( ± 0.9)%的非冗余ARG转录本,分别占抗性组内所有基因和转录本平均相对丰度的26.1% (图3a)和42.7%(图3b),表明极少一部分在持续活跃的ARGs随污水流动穿越污水厂。部分在进水中无法检出的ARGs在下游处理部位被检出,且不同部位还拥有各自特有的ARGs(图3a)和ARGs转录本(图3b),表明不同污水处理过程对抗生素抗性具有选择效应。

a-b污水处理厂的四个隔室中ARGs(a)及ARGs转录物(b)的丰富度(上层数字)和丰度(下层括号中数字)分布。c-e 污水处理厂的四个隔室中ARGs、BRGs、MRGs、iMGEs根据每个16S基因对应的基因拷贝数GP16S(c)、每升样本中的转录本拷贝数TPL(d)、每克生物量中的转录物数量TPB(e)、每个基因对应的转录本拷贝数TPG(f)来评估其丰度的箱线图。P值:*<0.001 < <0.01 < * <0.05。
i) 硝化和反硝化污泥抗性转录本的总绝对丰度显著高于进水和出水(图3d),这可能与前者细菌生物量远高出后者1~2个数量级有关;
ii) 与之相反,硝化和反硝化污泥抗性基因和iMGEs转录本的总相对丰度显著低于进水和出水(图3e和3f),说明后者具备更高的抗性基因和水平转移表征基因的表达活性;
iii)绝大部分抗生素、抗菌剂和金属抗性基因主型的相对丰度(GP16S)及表达量(TPB和TPG)在出水中高于进水,说明传统二级污水处理工艺既无法减少抗性基因相对水平,也无法消除其表达活性。

相对变化率(-1 ~ 1)定义为出水和进水间的丰度差除以二者中的最大值;因此,正值和负值分别代表在经过污水处理厂处理之后被富集(红色)或被削减(蓝色)。P值:*<0.001 < <0.01 < * <0.05。a:顶端坐标轴(柱状图)是TPB(即每克生物量中转录本拷贝数)的变化率,底端坐标轴(灰色空心圆)是出水中各抗性基因主型的浓度。b:以TPG和GP16S为单位的各抗性基因从进水到出水的相对变化量。结果表明:大部分的抗性基因主型的相对丰度及表达量在污水处理厂从进水到出水的过程中大量增加。
i) 抗性组基因及其转录本组成的冗余分析表明:一类整合子整合酶intI1、接合蛋白酶编码基因等生物因素对污水(出水和进水)抗性组方差解释度大于受测环境因素(抗菌剂、水质参数、运行参数);相反,受测环境因素对(硝化和反硝化)污泥抗性组方差解释度大于生物因素。
ii) 该结果与抗性基因及可移动基因元件表征基因在出水中的表达活性显著高于活性污泥的结果一致(图3e-3f),表明抗性基因水平转移在前者中的强度可能强于后者。
iii) 作者推测由于二沉池出水中悬浮态细菌可能比活性污泥承受着更大的压力胁迫(例如:前者中每克生物量比后者承受的抗生素和金属负荷高),因而导致抗性基因在出水细菌中的选择作用和表达活性显著高于受污泥絮体保护的细胞。
iv) 在活性污泥絮体中抗菌剂抗性或解毒作用可通过胞外失活(如β-内酰胺和氨基糖苷类),胞外聚合物结合(如重金素和化学毒素)和生物降解或转化(如可降解药物)等间接方式实现。
v) 此外,通过从不同污水厂或处理部位回收的17,486个抗性重叠群所得的比较基因组学分析,发现绝大部分多重叠群(93.5%)共享了完全相同的抗性基因序列,表明存在抗性基因大规模交换的历史。目前尚不明确这些转移事件是否发生在污水处理厂。
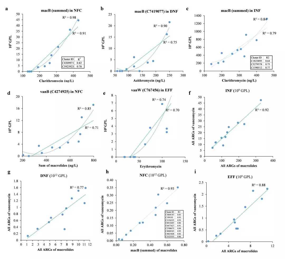
i) 关联性分析表明污水中残留的部分抗生素与ARGs(图S9)及其转录本(参考原文图S10)显著强关。
ii) 一方面,污水环境中残留的克拉霉素 (76-460 ng/L) 和阿奇霉素 (46-310 ng/L)的浓度与大环内酯类抗性基因 macB的基因丰度(图S9a-c)以及转录本丰度呈显著强相关,表明的污水中残存的亚致死浓度的抗菌剂既可能选择抗生素抗性,又可诱导抗性基因表达。
iii) 另一方面,污水中残留的大环内酯类抗生素浓度与万古霉素抗性基因(图S9d-e)以及转录本丰度具有强相关性;大环内酯类ARGs和万古霉素ARGs的总丰度强相关,且在组装回收的抗性重叠群上具有良好的共线关系;表明污水环境中特定抗生素可促进其他类型抗生素抗性基因的共选择和诱导表达。

i) 为了量化抗性基因在环境中发生水平基因转移的潜力,本文首次提出了抗性基因的可移动率(M%)的概念和计算方法:M% = N1/N2×100%;其中,N1代表与可移动遗传元件表征基因共线的抗性重叠群的数量; N2代表编码抗性重叠群的数量;
ii) 假定M%越大,抗性基因的可移动性率越高,在细菌间传播风险更大;M%越小,抗性基因的可移动率越低,传播风险更小;
iii) 在抗性组水平预测出污水厂内ARGs,BRGs和MRGs的平均可移动率分别为8.6%,11%和20%; 其中,β-内酰抗性基因(CTX-M-14, OXA-58,OXA-181,TEM等),大环内酯类抗性基因(ermB 和 mel),磺胺类抗性基因(sul1, sul2和 sul3) 以及铜(ctpG)、汞(merE, merT等)和银(silP)等抗性基因都显示出高可移动性率(M%>95%)。关于所有抗性基因可移动率信息请参考原文表S5和S6)。
本研究通过宏基因组、定量宏转录组以及环境数据分析表明:基因交换是污水厂抗性组的重要驱动因素之一。若水平基因转移促使相同的抗性基因序列大规模在远缘物种间传播,那么细菌群落组成和抗性组成的相关性会较弱。然而,普氏分析结果表明:抗性基因组成与细菌群落组成(基于16S的OTUs分析)呈显著强相关性,表明抗性基因在不同细菌间的传播存在一定的物种系统发育和亲缘关系的界限。

a-c NMDS分析描述了不同部位之间基于ARG(a)、BRG(b)、MRG(c)组成的Bary-curtis距离。d-f 普式分析表明细菌群落组成(Bray-Curtis,红点)和ARG(d)、BRG(e)、MRG(f)组成呈显著强相关性。
定量风险评估:利用抗性基因的可移动率(M%),本研究能够在“抗性亚型”、“抗性主型”以及“生态系统”三个水平预测和比较发生抗性基因水平传播的潜能。这是未来抗性基因风险分级的一个重要方面(Martínez et al 2015)。本研究从污水厂出水中鉴定出可移动率高达100%的典型ARGs包括CTX-M、OXA和TEM家族广谱β-内酰胺酶(ESBL)和OXA家族碳青霉烯酶类等重要医用抗生素的抗性基因。除了基因流动性外,抗性基因的风险评级还应考虑抗性基因宿主致病性,以及抗性类型在人类和/或家畜疾病控制方面的临床重要性。本研究从污水厂发现 11 个非冗余 ARGs (总共代表 138个ORFs序列),其序列组成与人类临床分离物病原体基因组或质粒携带的ARGs序列信息完全一致(表3);这些“致病性”ARGs(例如,sul1、ermB、ANT3和cmlA)在污水厂二沉池出水中基因(11/12)和转录本(9/12)检出比例都很高。因此,还需要进一步考察它们在受纳环境中的归趋和潜在健康风险。
排放总量控制:除非充分证实污水厂出水对人类健康的直接风险,否则目前还不需要对污水厂抗生素耐药性决定因素进行预防性或控制性的措施。然而,我们的数据表明:污水厂排放到环境中的抗药性细菌和基因的绝对数量在很大程度上取决于出水中残留的细菌绝对生物量。因此,任何大幅度减少排放污水中细菌生物量的措施,如适当延长二沉池的水力停留时间或膜过滤工艺处理,都将减少未来污水厂抗性基因此类新型环境污染物的排放总量。与此观点一致,之前研究的实验数据证实(Munir et al 2011):基于膜生物反应器工艺的污水厂对于特定ARGs和抗性菌绝对量的去除效率显著高于传统活性污泥工艺污水厂。
责编:刘永鑫 中科院遗传发育所
1 Feng Ju, Karin Beck, Xiaole Yin, Andreas Maccagnan, Christa S. McArdell, Heinz P. Singer, David R. Johnson, Tong Zhang & Helmut Bürgmann. Wastewater treatment plant resistomes are shaped by bacterial composition, genetic exchange, and upregulated expression in the effluent microbiomes. The ISME Journal 13, 346-360, doi:10.1038/s41396-018-0277-8 (2019).



